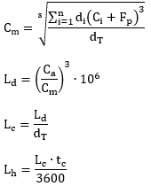
Laufleistungberechnung

Symbol Bedeutung Einheit
Cm Mittlere Lastkraft N
Ci Last schritt N
Fp Vorspannkraft N
Ca Schraube dynamische Belastbarkeit N
di Weg schritt m
dT Gesamtfahrstrecke im Zyklus m
tc Zykluszeit s
Ld Laufleistung (weg) m
Lc Laufleistung (zyklen) 1
Lh Laufleistung h

Verwandte Themen